Minimum Eigen Optimizer¶
About this notebook and the adaptation to Amazon Braket backend¶
The original version of this notebook is accessible at docs/tutorials/03_minimum_eigen_optimizer.ipynb. The only changes made to the original notebook are contained in the first cell and in cell #6 where we pass the BackendSampler
object to execute the tasks on Amazon Braket SV1 simulator.
[1]:
from qiskit.primitives import BackendSampler
from qiskit_braket_provider import BraketProvider
sampler = BackendSampler(
backend=BraketProvider().get_backend("SV1"),
options={"shots": 1000},
)
Introduction¶
An interesting class of optimization problems to be addressed by quantum computing are Quadratic Unconstrained Binary Optimization (QUBO) problems. Finding the solution to a QUBO is equivalent to finding the ground state of a corresponding Ising Hamiltonian, which is an important problem not only in optimization, but also in quantum chemistry and physics. For this translation, the binary variables taking values in \(\{0, 1\}\) are replaced by spin variables taking values in \(\{-1, +1\}\), which allows one to replace the resulting spin variables by Pauli Z matrices, and thus, an Ising Hamiltonian. For more details on this mapping we refer to [1].
Qiskit optimization provides automatic conversion from a suitable QuadraticProgram
to an Ising Hamiltonian, which then allows leveraging all the SamplingMinimumEigensolver
implementations, such as
SamplingVQE
,QAOA
, orNumpyMinimumEigensolver
(classical exact method).
Note 1: MinimumEigenOptimizer
does not support qiskit_algorithms.VQE
. But qiskit_algorithms.SamplingVQE
can be used instead.
Note 2: MinimumEigenOptimizer
can use NumpyMinimumEigensolver
as an exception case though it inherits MinimumEigensolver
(not SamplingMinimumEigensolver
).
Qiskit optimization provides a the MinimumEigenOptimizer
class, which wraps the translation to an Ising Hamiltonian (in Qiskit Terra also called SparsePauliOp
), the call to a MinimumEigensolver
, and the translation of the results back to an OptimizationResult
.
In the following we first illustrate the conversion from a QuadraticProgram
to a SparsePauliOp
and then show how to use the MinimumEigenOptimizer
with different MinimumEigensolver
s to solve a given QuadraticProgram
. The algorithms in Qiskit optimization automatically try to convert a given problem to the supported problem class if possible, for instance, the MinimumEigenOptimizer
will automatically translate integer variables to binary variables or add linear equality
constraints as a quadratic penalty term to the objective. It should be mentioned that a QiskitOptimizationError
will be thrown if conversion of a quadratic program with integer variables is attempted.
The circuit depth of QAOA
potentially has to be increased with the problem size, which might be prohibitive for near-term quantum devices. A possible workaround is Recursive QAOA, as introduced in [2]. Qiskit optimization generalizes this concept to the RecursiveMinimumEigenOptimizer
, which is introduced at the end of this tutorial.
References¶
[1] A. Lucas, Ising formulations of many NP problems, Front. Phys., 12 (2014).
Converting a QUBO to a SparsePauliOp¶
[2]:
from typing import List, Tuple
import numpy as np
from qiskit.visualization import plot_histogram
from qiskit_algorithms import QAOA, NumPyMinimumEigensolver
from qiskit_algorithms.optimizers import COBYLA
from qiskit_algorithms.utils import algorithm_globals
from qiskit_optimization import QuadraticProgram
from qiskit_optimization.algorithms import (
MinimumEigenOptimizer,
OptimizationResultStatus,
RecursiveMinimumEigenOptimizer,
SolutionSample,
)
[3]:
# create a QUBO
qubo = QuadraticProgram()
qubo.binary_var("x")
qubo.binary_var("y")
qubo.binary_var("z")
qubo.minimize(linear=[1, -2, 3], quadratic={("x", "y"): 1, ("x", "z"): -1, ("y", "z"): 2})
print(qubo.prettyprint())
Problem name:
Minimize
x*y - x*z + 2*y*z + x - 2*y + 3*z
Subject to
No constraints
Binary variables (3)
x y z
Next we translate this QUBO into an Ising operator. This results not only in a SparsePauliOp
but also in a constant offset to be taken into account to shift the resulting value.
[4]:
op, offset = qubo.to_ising()
print("offset: {}".format(offset))
print("operator:")
print(op)
offset: 1.5
operator:
SparsePauliOp(['IIZ', 'IZI', 'ZII', 'IZZ', 'ZIZ', 'ZZI'],
coeffs=[-0.5 +0.j, 0.25+0.j, -1.75+0.j, 0.25+0.j, -0.25+0.j, 0.5 +0.j])
Sometimes a QuadraticProgram
might also directly be given in the form of a SparsePauliOp
. For such cases, Qiskit optimization also provides a translator from a SparsePauliOp
back to a QuadraticProgram
, which we illustrate in the following.
[5]:
qp = QuadraticProgram()
qp.from_ising(op, offset, linear=True)
print(qp.prettyprint())
Problem name:
Minimize
x0*x1 - x0*x2 + 2*x1*x2 + x0 - 2*x1 + 3*x2
Subject to
No constraints
Binary variables (3)
x0 x1 x2
This translator allows, for instance, one to translate a SparsePauliOp
to a QuadraticProgram
and then solve the problem with other algorithms that are not based on the Ising Hamiltonian representation, such as the GroverOptimizer
.
Solving a QUBO with the MinimumEigenOptimizer¶
We start by initializing the MinimumEigensolver
we want to use.
[6]:
algorithm_globals.random_seed = 10598
qaoa_mes = QAOA(sampler=sampler, optimizer=COBYLA(), initial_point=[0.0, 0.0])
exact_mes = NumPyMinimumEigensolver()
Then, we use the MinimumEigensolver
to create MinimumEigenOptimizer
.
[7]:
qaoa = MinimumEigenOptimizer(qaoa_mes) # using QAOA
exact = MinimumEigenOptimizer(exact_mes) # using the exact classical numpy minimum eigen solver
We first use the MinimumEigenOptimizer
based on the classical exact NumPyMinimumEigensolver
to get the optimal benchmark solution for this small example.
[8]:
exact_result = exact.solve(qubo)
print(exact_result.prettyprint())
objective function value: -2.0
variable values: x=0.0, y=1.0, z=0.0
status: SUCCESS
Next we apply the MinimumEigenOptimizer
based on QAOA
to the same problem.
[9]:
qaoa_result = qaoa.solve(qubo)
print(qaoa_result.prettyprint())
/Users/caw/Documents/GitHub/qiskit-braket-provider/qiskit_braket_provider/providers/adapter.py:438: UserWarning: The Qiskit circuit contains barrier instructions that are ignored.
warnings.warn(
objective function value: -2.0
variable values: x=0.0, y=1.0, z=0.0
status: SUCCESS
Analysis of Samples¶
OptimizationResult
provides useful information in the form of SolutionSample
s (here denoted as samples). Each SolutionSample
contains information about the input values (x
), the corresponding objective function value (fval
), the fraction of samples corresponding to that input (probability
), and the solution status
(SUCCESS
, FAILURE
, INFEASIBLE
). Multiple samples corresponding to the same input are consolidated into a single SolutionSample
(with its
probability
attribute being the aggregate fraction of samples represented by that SolutionSample
).
[10]:
print("variable order:", [var.name for var in qaoa_result.variables])
for s in qaoa_result.samples:
print(s)
variable order: ['x', 'y', 'z']
SolutionSample(x=array([0., 1., 0.]), fval=-2.0, probability=0.446, status=<OptimizationResultStatus.SUCCESS: 0>)
SolutionSample(x=array([1., 1., 0.]), fval=0.0, probability=0.141, status=<OptimizationResultStatus.SUCCESS: 0>)
SolutionSample(x=array([0., 0., 0.]), fval=0.0, probability=0.24, status=<OptimizationResultStatus.SUCCESS: 0>)
SolutionSample(x=array([1., 0., 0.]), fval=1.0, probability=0.093, status=<OptimizationResultStatus.SUCCESS: 0>)
SolutionSample(x=array([1., 0., 1.]), fval=3.0, probability=0.02, status=<OptimizationResultStatus.SUCCESS: 0>)
SolutionSample(x=array([0., 1., 1.]), fval=3.0, probability=0.042, status=<OptimizationResultStatus.SUCCESS: 0>)
SolutionSample(x=array([0., 0., 1.]), fval=3.0, probability=0.018, status=<OptimizationResultStatus.SUCCESS: 0>)
We may also want to filter samples according to their status or probabilities.
[11]:
def get_filtered_samples(
samples: List[SolutionSample],
threshold: float = 0,
allowed_status: Tuple[OptimizationResultStatus] = (OptimizationResultStatus.SUCCESS,),
):
return [s for s in samples if s.status in allowed_status and s.probability > threshold]
[12]:
filtered_samples = get_filtered_samples(
qaoa_result.samples,
threshold=0.005,
allowed_status=(OptimizationResultStatus.SUCCESS,),
)
for s in filtered_samples:
print(s)
SolutionSample(x=array([0., 1., 0.]), fval=-2.0, probability=0.446, status=<OptimizationResultStatus.SUCCESS: 0>)
SolutionSample(x=array([1., 1., 0.]), fval=0.0, probability=0.141, status=<OptimizationResultStatus.SUCCESS: 0>)
SolutionSample(x=array([0., 0., 0.]), fval=0.0, probability=0.24, status=<OptimizationResultStatus.SUCCESS: 0>)
SolutionSample(x=array([1., 0., 0.]), fval=1.0, probability=0.093, status=<OptimizationResultStatus.SUCCESS: 0>)
SolutionSample(x=array([1., 0., 1.]), fval=3.0, probability=0.02, status=<OptimizationResultStatus.SUCCESS: 0>)
SolutionSample(x=array([0., 1., 1.]), fval=3.0, probability=0.042, status=<OptimizationResultStatus.SUCCESS: 0>)
SolutionSample(x=array([0., 0., 1.]), fval=3.0, probability=0.018, status=<OptimizationResultStatus.SUCCESS: 0>)
If we want to obtain a better perspective of the results, statistics is very helpful, both with respect to the objective function values and their respective probabilities. Thus, mean and standard deviation are the very basics for understanding the results.
[13]:
fvals = [s.fval for s in qaoa_result.samples]
probabilities = [s.probability for s in qaoa_result.samples]
[14]:
np.mean(fvals)
[14]:
1.1428571428571428
[15]:
np.std(fvals)
[15]:
1.8070158058105026
Finally, despite all the number-crunching, visualization is usually the best early-analysis approach.
[16]:
samples_for_plot = {
" ".join(f"{qaoa_result.variables[i].name}={int(v)}" for i, v in enumerate(s.x)): s.probability
for s in filtered_samples
}
samples_for_plot
[16]:
{'x=0 y=1 z=0': 0.446,
'x=1 y=1 z=0': 0.141,
'x=0 y=0 z=0': 0.24,
'x=1 y=0 z=0': 0.093,
'x=1 y=0 z=1': 0.02,
'x=0 y=1 z=1': 0.042,
'x=0 y=0 z=1': 0.018}
[17]:
plot_histogram(samples_for_plot)
[17]:

RecursiveMinimumEigenOptimizer¶
The RecursiveMinimumEigenOptimizer
takes a MinimumEigenOptimizer
as input and applies the recursive optimization scheme to reduce the size of the problem one variable at a time. Once the size of the generated intermediate problem is below a given threshold (min_num_vars
), the RecursiveMinimumEigenOptimizer
uses another solver (min_num_vars_optimizer
), e.g., an exact classical solver such as CPLEX or the MinimumEigenOptimizer
based on the NumPyMinimumEigensolver
.
In the following, we show how to use the RecursiveMinimumEigenOptimizer
using the two MinimumEigenOptimizer
s introduced before.
First, we construct the RecursiveMinimumEigenOptimizer
such that it reduces the problem size from 3 variables to 1 variable and then uses the exact solver for the last variable. Then we call solve
to optimize the considered problem.
[18]:
rqaoa = RecursiveMinimumEigenOptimizer(qaoa, min_num_vars=1, min_num_vars_optimizer=exact)
[19]:
rqaoa_result = rqaoa.solve(qubo)
print(rqaoa_result.prettyprint())
/Users/caw/Documents/GitHub/qiskit-braket-provider/qiskit_braket_provider/providers/adapter.py:438: UserWarning: The Qiskit circuit contains barrier instructions that are ignored.
warnings.warn(
objective function value: -2.0
variable values: x=0.0, y=1.0, z=0.0
status: SUCCESS
[20]:
filtered_samples = get_filtered_samples(
rqaoa_result.samples,
threshold=0.005,
allowed_status=(OptimizationResultStatus.SUCCESS,),
)
[21]:
samples_for_plot = {
" ".join(f"{rqaoa_result.variables[i].name}={int(v)}" for i, v in enumerate(s.x)): s.probability
for s in filtered_samples
}
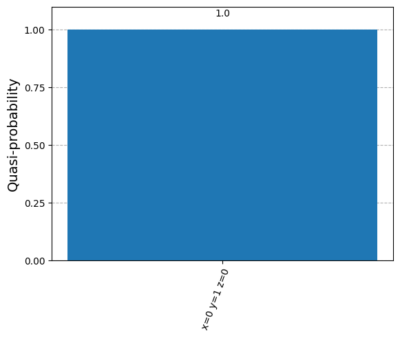
samples_for_plot
[21]:
{'x=0 y=1 z=0': 1.0}
[22]:
plot_histogram(samples_for_plot)
[22]:
